Sostieni la ricerca AIRC acquistando cioccolatini Lindt
Vi aspettiamo il 6 novembre davanti alla chiesa di San Filippo Neri (Cecchina).
Assemblea per il rinnovo del consiglio direttivo e il rinnovo del collegio dei revisori dei conti
Si comunica a tutti i soci che il giorno sabato 30 ottobre 2021 si terrà l’assemblea per il rinnovo del consiglio direttivo e del collegio dei revisori dei conti, in prima convocazione alle ore 12:00 e in seconda convocazione alle ore 16:00. Si invitano i soci che desiderano presentare la propria candidatura per il consiglio direttivo o per il collegio dei revisori dei conti, a compilare i rispettivi moduli per la candidatura in allegato e presentarli in sede entro e non oltre il 28 ottobre, segue manifesto informativo.
legge 124 del 4 agosto 2017
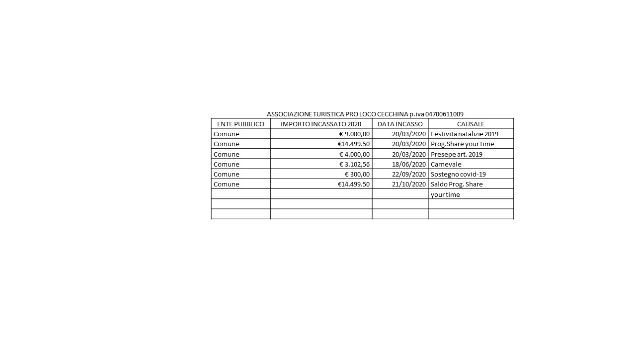
Pubblicazione contributi ricevuti nel 2020
Sostieni la ricerca AIRC acquistando miele e marmellata di arancia
Sono arrivati i vasetti di miele e di marmellata di arancia per sostenere la ricerca AIRC, rispettivamente al costo di 7 € e 6 €. È possibile ritirarli presso la sede della Pro Loco Cecchina sita in via Italia 2 a Villa del Vescovo.
Aperte le iscrizioni alla Pro Loco per l’anno 2021
Comunichiamo che sono aperte le iscrizioni all’Associazione Turistica Pro Loco Cecchina per l’anno 2021. Invitiamo tutte le persone interessate ad iscriversi alla Pro Loco a contattarci per prendere la tessera annuale.
Servizio Civile Universale nell’Associazione Turistica Pro Loco Cecchina
Fino alle ore 14.00 di lunedì 15 febbraio 2021 i ragazzi e le ragazze che hanno tra 18 anni e 28 anni e 364 giorni possono presentare domanda di partecipazione per diventare operatori volontari del Servizio Civile Universale all’interno del progetto “I luoghi della cultura: tra arte, storia e archeologia” oppure all’interno del progetto “Le antiche vie dei romani”. Il Servizio Civile Universale prevede 25 ore di attività di volontariato a settimana, per 6 giorni a settimana, per 12 mesi. Gli operatori volontari riceveranno: – 439,50 euro al mese per 12 mesi, – almeno 80 ore di formazione gratuita, – attestato finale di partecipazione al Servizio Civile Universale. L’anno di Servizio Civile Universale è riscattabile ai fini del trattamento previdenziale e viene valutato nei concorsi pubblici con le stesse modalità e lo stesso valore del servizio prestato presso la Pubblica Amministrazione. Gli aspiranti operatori volontari devono presentare la…
Prolungata apertura del XXVIII Presepe Artistico di Cecchina
L’apertura del XXVIII Presepe Artistico di Cecchina viene prolungata fino a mercoledì 20 gennaio 2021, compreso. Il Presepe è aperto tutti i giorni dalle ore 8.00 alle ore 20.00, in piazza XXV aprile a Cecchina.



